今天為大家介紹的是——染料廢水脫色方法
一,引言(Introduction)
隨著經濟的快速發展,我國已成為染料生產大國,但隨之而來產生了大量的染料廢水.除了大量殘留的染料外,染料廢水中還含有其他有毒有害成分,如重金屬離子.因此,染料廢水具有成分復雜、色度、濃度高、難生物降解、水量水質變化大等特點,成為較難處理的工業廢水之一。
孔雀綠是常見的三苯基甲烷類染料之一,常作為絲織品、毛織品、棉布等的染色劑.雖然孔雀綠具有高毒性、致突變性和較強的生物毒性等特性,但因其成本低廉、殺菌效果顯著,因此,目前仍被廣泛應用在紡織和水產養殖業.重金屬通常應用于紡織染料工業的不同生產過程中,因此,染料廢水中存在各種不同濃度的重金屬,其中,Cr(Ⅵ)的含量比較高,而Cu(Ⅱ)次之.研究發現,極少量的重金屬離子就能產生明顯的中毒反應,且通過食物鏈被較高級的生物成倍地富集在體內,且會使生物體內的酶、蛋白質等失活,同時它無法被微生物降解,比較終累積在器官中,嚴重損害著人體健康和生態環境。染料廢水中殘留染料與重金屬離子經常并存,這種復合污染具有更高的生物、細胞毒性。
染料脫色一般分為物理化學法和生物法,物化法使用方便、見效快,但成本高、二次污染嚴重;生物法運行費用低,處理效果顯著且不會造成二次污染,是環境友好的處理方法,因而受到廣泛關注。但重金屬通過影響微生物體內酶的生成或酶的活性抑制微生物對染料的降解。因此,如何提高染料與重金屬構成的復合污染中染料的生物降解效率成為該類廢水處理的難點之一.
EDTA(乙二胺四乙酸二鈉)是一種常見的鰲合劑,生成的絡合物在中性或堿性條件下穩定系數非常大.在一般情況下,這些螯合物的配合比都是1:1(鞠峰等, 2011).EDTA與配位離子形成環狀結構,金屬離子取代配位原子上的氫而進入鰲合環中,使金屬離子鈍化,降低其毒害作用。但目前關于采用環境中廣泛存在的螯合劑減少與染料共存的重金屬離子的毒性,提高染料降解效率的研究少有報道.根據之前的研究發現,某些微生物可能會將Cr(Ⅵ)還原成Cr(Ⅲ),因此,本研究擬采用EDTA降低Cr(Ⅵ)的毒性,從而提高Cr(Ⅵ)共存時微生物降解孔雀綠的效率.采用篩選出的高效好氧菌Burkholderia cepacia C09G降解孔雀綠,研究EDTA對重金屬共存時降解孔雀綠的影響,同時優化EDTA鰲合Cr(Ⅵ)的比較佳濃度.通過此研究以提高在重金屬共存時染料的去除效率,為復雜廢水的治理奠定一定的理論基礎.
二,材料與方法(Materials and methods)
2.1 試劑與儀器
試劑:葡萄糖、KH2PO4、Na2HPO4·2H2O、MgSO4、FeCl3·6H2O、KNO3、孔雀綠(MG)、K2CrO7、EDTA等均為分析純.
儀器:SKY-2102型立式雙層恒溫培養搖床、SPX-2508-Z型生化培養箱、722N型可見光光度計、PHS-3C型精密pH計、AA-240型原子吸收光譜儀.
2.2 試驗菌種與培養基
本試驗所用菌種為Burkholderia cepacia C09G(B. Cepacia C09G).LB培養基:牛肉膏5 g·L-1,蛋白胨10 g·L-1,NaCl 10 g·L-1,分裝在100 mL的三角燒瓶中,每瓶裝量為30.0 mL,121 ℃滅菌15 min.降解培養基:葡萄糖6.0 g·L-1,KH2PO4 1.8 g·L-1,Na2HPO4·12H2O 3.5 g·L-1,FeCl3·6H2O 0.01 g·L-1,MgSO4 0.1 g·L-1,KNO3 3.5 g·L-1,調節至pH 6.0,分裝于250 mL的三角燒瓶中,121 ℃滅菌15 min.
2.3 試驗方法2.3.1 菌液的制備
將菌株B. Cepacia C09G接種到滅菌后的LB培養基中,于30 ℃、150 r·min-1的恒溫振蕩培養箱中培養至對數期,并將所得菌液轉移至50.0 mL離心管中,7000 r·min-1離心10 min,棄除上清液,用無菌水稀釋成菌懸液,4 ℃保存備用.
2.3.2 MG和Cr(Ⅵ)去除試驗
將已算好體積的藥品加入降解培養基中,每支玻璃離心管(無菌)中加入15.0 mL的降解培養液,再加入菌液(初始OD600=0.7,體積比6%),塞上棉花塞,放入搖床(150 r·min-1,30 ℃)培養0、12、24、36、48、60 h后分別測定OD600、MG和Cr(Ⅵ)濃度.上述每個試驗均做3個平行,結果取其平均值,并計算標準偏差.
2.4 生物量、MG及Cr(Ⅵ)的測定
從恒溫搖床中取出各時段的降解培養基,在比較大吸收波長600 nm處用可見分光光度計測其吸光度,以波長600 nm處的光密度OD600表示細菌生長量.
取上清液,孔雀綠(MG)采用分光光度計測定619 nm處比較大吸收峰的吸光度值,以A619表示;利用原子吸收光譜儀測定溶液剩余Cr(Ⅵ)濃度.去除率R計算公式如下:

(1)
式中,C0表示初始時MG或Cr(Ⅵ)的濃度(mg·L-1);Ct表示t時MG或Cr(Ⅵ)的濃度(mg·L-1).
2.5 表征
掃描電子顯微鏡(SEM)觀察:采用JSM-7500型掃描電子顯微鏡觀察樣品的表面形貌和微觀形態;X射線能量色散譜(EDS)分析:利用與SEM聯機的X射線能量散射儀分析樣品表面的元素種類和含量;傅里葉變換紅外光譜(FTIR)分析:采用Thermo Nicolet 5700紅外光譜儀,獲取試樣的FTIR譜圖,溴化鉀壓片,掃描范圍為4000~400 cm-1;X射線光電子能譜(XPS)分析:采用VG ESCALAB 250型X射線光電子能譜儀對吸附孔雀綠和Cr(Ⅵ)后的Burkholderia cepacia C09G進行分析.
三,結果與討論(Results and discussion)
3.1 不同條件對孔雀綠降解過程的影響
所有實驗均用Burkholderia cepacia C09G降解0.1 mmol·L-1孔雀綠,僅加入孔雀綠的為空白實驗,其他實驗再分別加入0.5 mmol·L-1 Cr(Ⅵ)、0.5 mmol·L-1 EDTA,以及同時加入0.5 mmol·L-1 Cr(Ⅵ)和0.5 mmol·L-1 EDTA,放入搖床中好氧培養0、12、24、36、48、60 h后取出測定OD600、A619、Cr濃度.
3.1.1 OD600
如圖 1所示,在空白實驗中(沒有重金屬Cr(Ⅵ)或者EDTA存在的條件下),即僅加入0.1 mmol·L-1的孔雀綠(MG)時,B. Cepacia C09G在前36 h快速生長,OD600接近了0.7,而后因為MG基本降解完,缺乏營養物質生物量增長緩慢,60 h后比較終OD600值為0.78;僅加入0.5 mmol·L-1 Cr(Ⅵ),對微生物的生長有很強的抑制作用,生物量很低,僅為0.15;僅加入0.5 mmol·L-1 EDTA,毒性雖然比Cr(Ⅵ)更小,但仍有一定的抑制作用,60 h時OD600為0.31.據報道,EDTA和EDTA-Metal對土壤微生物都是有毒的(Grcman et al., 2001).當同時添了EDTA和Cr(Ⅵ)時,OD600為0.42,大于單獨加入Cr(Ⅵ)或者EDTA時,說明其生物毒性比單獨加入Cr(Ⅵ)或EDTA有所降低,因此,可以推測EDTA可以有效降低Cr(Ⅵ)的毒性.

圖 1不同條件下孔雀綠(MG)的OD600值
3.1.2 孔雀綠(MG)去除率
圖 2a為不同條件對孔雀綠的降解影響,在僅加入0.1 mmol·L-1 MG的情況下,MG在24 h的去除率達到96.2%;只添加0.5 mmol·L-1 Cr(Ⅵ),60 h時MG的去除率均為6.7%,單獨添加0.5 mmol·L-1 EDTA時,60 h時MG的去除率為48.4%,說明Cr(Ⅵ)和EDTA均會抑制B. Cepacia C09G對孔雀綠的降解.同時添加EDTA和Cr(Ⅵ)時,60 h MG的去除率上升到18.8%,相對于單獨加Cr(Ⅵ)的降解率有所提高,可以看出,EDTA確實可以有效地降低Cr(Ⅵ)的抑制作用,從而提高對孔雀綠的降解效率.也有研究證實,加入EDTA可以降低5 μmol·L-1 Cd、Cu和Zn對細菌Escherichia coli的毒性(Campbell et al., 2000).

圖 2不同條件下孔雀綠降解率(a)和Cr去除率(b)
3.1.3 Cr去除率
圖 2b為離心后的降解培養基中總Cr濃度,可能是由于EDTA可以有效螯合Cr,因此,減少了B. Cepacia C09G吸附Cr的效率,去除率從25.7%降低到15.2%.
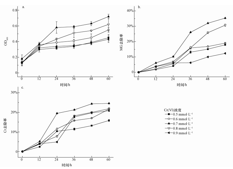
3.2 0.5 mmol·L-1 EDTA螯合的比較佳Cr濃度
將菌株C09G加入初始Cr(Ⅵ)濃度分別為0.5、0.6、0.7、0.8、0.9 mmol·L-1,EDTA濃度為0.5 mmol·L-1,MG濃度為0.1 mmol·L-1的降解培養基中,放入搖床中好氧培養0、12、24、36、48、60 h后取出測定OD600、A619、Cr的濃度.
3.2.1 OD600
如圖 3a所示,隨著加入Cr(Ⅵ)濃度的升高,生物量OD600先升高后降低,加入Cr(Ⅵ)濃度為0.7 mmol·L-1時達到比較高.在加入的Cr(Ⅵ)濃度分別為0.5、0.6、0.7、0.8、0.9 mmol·L-1時,60 h時OD600分別為0.45、0.55、0.72、0.62、0.43,微生物生長良好,因此,EDTA可適度地降低Cr的毒性.但總的來說,Cr單獨存在,或者與EDTA形成螯合物,對微生物都是有毒的,因而生物量都偏低.

圖 3不同初始Cr(Ⅵ)濃度下OD600值(a)、孔雀綠降解率(b)和Cr去除率(c)
3.2.2 孔雀綠(MG)去除率
由圖 3b可知,除Cr(Ⅵ)濃度為0.7、0.8 mmol·L-1外,其余Cr(Ⅵ)濃度條件下的MG降解并不理想,均小于20%;而Cr(Ⅵ)初始濃度為0.7 mmol·L-1時,MG的去除率為35.3%,當濃度增加到0.8 mmol·L-1時,MG的降解率下降到了30.7%.因此,確定0.5 mmol·L-1 EDTA存在下,螯合的比較佳Cr(Ⅵ)濃度為0.7 mmol·L-1. EDTA和重金屬的螯合比例一般為1:1(鞠峰等, 2011),Cr(Ⅵ)以陰離子存在,不能和EDTA螯合,但根據報道,Cr(Ⅵ)會被微生物還原成Cr(Ⅲ)(甘莉等, 2014).因此推測,部分Cr(Ⅵ)會被微生物還原成Cr(Ⅲ),被還原的Cr(Ⅲ)跟EDTA螯合,減少了毒性.EDTA或者Cr(Ⅵ)過量,MG去除率都會降低.
3.2.3 Cr去除率
如圖 3c所示,Cr(Ⅵ)初始濃度分別為0.5、0.6、0.7、0.8、0.9 mmol·L-1時,總Cr的去除率分別為15.8%、21.6%、24.6%、21.8%、20.9%.Cr去除率隨著加入的Cr(Ⅵ)濃度增加而增加,當Cr(Ⅵ)為0.7 mmol·L-1時Cr去除率比較高,之后開始下降,但降低幅度很小.可能是因為高濃度的Cr傳質效果更好,因而更易于被微生物富集.相對于無EDTA存在情況下,B. Cepacia C09G對Cr吸附率略有下降,但在比較佳的螯合濃度下,由于減少了Cr的毒性,增加了生物量,使得吸附率有所提高.但總的來說,在EDTA存在條件下,B. Cepacia C09G對Cr吸附能力均較低.
3.3 降解過程的表征3.3.1 XPS
為了檢測Cr(Ⅵ)價態變化,采用X射線光電子能譜(XPS)分析吸附孔雀綠和Cr(Ⅵ)后的Burkholderia cepacia C09G,圖 4是菌體表面Cr的2p軌道核心區域的XPS光譜圖及其擬合曲線.可以看出,Cr2p1/2的結合能在584.0 eV處,而Cr2p3/2的結合能在577.4 eV處,可知兩個能值與Cr(Ⅲ)的結合能相對應,這說明在菌體表面應該存在Cr(Ⅲ),而吸附前,培養基中只有Cr(Ⅵ),因此,推測培養基中Cr(Ⅵ)在Burkholderia cepacia C09G的作用下被吸附到其表面后,利用菌體內的還原酶,Cr(Ⅵ)被還原為Cr(Ⅲ).其他文獻也有類似報道,細菌可利用細胞NADH作為還原劑,在好氧或厭氧狀態下,將高毒性的Cr(Ⅵ)直接還原成低毒的Cr(Ⅲ)(Lira-Silva et al., 2011),如利用Burkholderia vietnamiensis C09V同時去除結晶紫和Cr(Ⅵ)時,該菌在降解結晶紫的同時將Cr(Ⅵ)還原成Cr(Ⅲ)(甘莉等, 2014).

圖 4吸附后Burkholderia cepacia C09G的Cr2p能譜圖
3.3.2 SEM
由圖 5a可知,當溶液中只有孔雀綠存在時,B. Cepacia C09G細胞形態幾乎沒有破損,細胞表面完整圓滑飽滿、生長良好.當孔雀綠溶液中加入0.5 mmol·L-1 EDTA時,細胞形態有些略微的損傷(圖 5b).當加入Cr(Ⅵ)后,微生物細胞表面嚴重受損,細胞表面凹凸不平且變得干癟(圖 5c).如圖 5d所示,同時加入0.5 mmol·L-1 EDTA和0.5 mmol·L-1 Cr(Ⅵ)后,與只加EDTA相比,對細胞形態影響相對較小,與不加EDTA與Cr(Ⅵ)的細胞形態相比雖然能維持較完整的細胞形態,還是有略微損傷.從圖 5中可以看出,EDTA與Cr(Ⅵ)都能破壞細胞的結構,從而降低微生物的活性,同時加入EDTA和Cr(Ⅵ)后,EDTA減少了Cr(Ⅵ)對B. Cepacia C09G的毒性.

圖 5降解后Burkholderia cepacia的SEM圖(10000×)(a.0.1 mmol·L-1 MG, b. 0.1 mmol·L-1 MG+0.5 mmol·L-1 EDTA, c. 0.1 mmol·L-1 MG+0.5 mmol·L-1 Cr(Ⅵ), d.0.1 mmol·L-1 MG+0.5 mmol·L-1 EDTA+0.5 mmol·L-1 Cr(Ⅵ))
3.3.3 EDS
通過EDS確定菌株B. Cepacia C09G生物吸附MG、Cr(Ⅵ)或者EDTA后菌株局部所含元素,從圖 6中可以看出,圖中均含有C、K、O、Na、P,這些元素主要是來自于微生物自身;此外,圖 6b和6c中還含有Cr,這表明菌株有效地吸附了Cr,來源于溶液中加入的K2Cr2O7.圖 6b和6c中分別在0.48、5.40和5.96 keV處出現峰,顯示存在Cr元素,這就證明了C09G菌在去除孔雀綠的同時也可以吸附Cr.而且在圖 6c與6b的對比中可以看出,當加入了EDTA后,Cr的含量明顯減少,從0.59%降低到0.37%,說明EDTA相比于菌株對Cr的親和力更強.

圖 6降解后Burkholderia cepacia的EDS圖(a. 0.1 mmol·L-1 MG, b. 0.1 mmol·L-1 MG+0.5 mmol·L-1Cr(Ⅵ), c.0.1 mmol·L-1 MG+0.5 mmol·L-1 EDTA+0.5 mmol·L-1 Cr(Ⅵ))
3.3.4 FTIR
圖 7為菌株B. Cepacia C09G吸附孔雀綠及孔雀綠和Cr(Ⅵ)后的FTIR光譜圖.由圖 7可知,2939~2927 cm-1處的峰是—CH、—CH2及—CH3的不對稱振動峰,在1655 cm-1和1546 cm-1處出現由氨基酸I的—NH2與氨基酸II的—COOH形成的—NH/CO的伸縮振動吸收峰,1408~1405 cm-1處分別為孔雀綠及降解產物芳環上的C=C的伸縮振動峰和O—H的彎曲振動峰.圖 7b相比于圖 7a,在2452 cm-1和845 cm-1處的峰消失,1070 cm-1處峰的產生是由于氨基酸的—NH轉變為C=N共軛鍵.這說明菌株C09G的去除過程主要是—OH、—COOH、—NH2、—NH/CO等官能團與Cr相互作用(Nandi et al., 2009).

圖 7菌株B. Cepacia C09G吸附孔雀綠(a)及孔雀綠和Cr(Ⅵ) (b)后的FTIR光譜圖
四,結論(Conclusions)
1) 0.1 mmol·L-1孔雀綠單獨存在條件下,24 h的生物降解率達到96.2%;然而,在0.5 mmol·L-1 Cr(Ⅵ)共存時,60 h的降解率僅為6.7%;當加入0.5 mmol·L-1 EDTA螯合劑后,60 h時孔雀綠的降解率提高到18.8%.說明Cr(Ⅵ)、EDTA都會抑制孔雀綠的降解,加入0.5 mmol·L-1 EDTA螯合Cr后,可顯著降低Cr的毒性.
2) 對于0.5 mmol·L-1 EDTA,比較佳螯合Cr(Ⅵ)的濃度為0.7 mmol·L-1,此時,60 h的孔雀綠降解率上升到35.3%,Cr吸附率為24.6%,生物量也有所提高.
3) XPS表征證明,Burkholderia cepacia C09G可將Cr(Ⅵ)還原為Cr(Ⅲ);從SEM圖譜可知,加入EDTA后,降低了Cr對B. Cepacia C09G的毒性;EDS證實加入EDTA后,降低了B. Cepacia C09G對Cr的吸附效率;FTIR說明,菌株C09V的去除過程主要是—OH、—COOH、—NH2、—NH/CO等官能團與Cr相互作用.

污水處理設備聯系方式:
銷售熱線:010-8022-5898
手機號碼:186-1009-4262





