歡迎訪問北京中天恒遠環保設備有限公司官網!
咨詢熱線:010-8022-5898 手機:18610094262
-
聚環氧琥珀酸(鈉)PESA 2018-01-10 [行業資訊] 熱度:248

分子式:HO(C4H2O5M2)nH 相對分子質量:400-1500 CAS No.:51274-37-4;109578-44-1 結構式 第一,性能與用途 PESA是一種無磷、非氮的綠色環保型水溶性聚合物。PESA對水中的碳酸鈣、硫酸鈣、硫酸鋇、硫酸鍶、氟化鈣和...
-
2-膦酸丁烷-1,2,4-三羧酸PBTCA 2018-01-10 [行業資訊] 熱度:221

CAS No. 37971-36-1 別名:1,2,4-三羧酸-2-膦酸基丁烷;PBTC;2-膦酰基-1,2,4-丁烷三羧酸;膦;⊥槿人; 分子式 C7H11O9P 相對分子質量:270.13 結構式 第一,性能與用途 PBTCA含磷量低,由于它具有膦酸和羧酸的結...
-
銅緩蝕劑甲基苯駢三氮唑TTA 2018-01-10 [行業資訊] 熱度:291

別名:甲基苯并三氮唑、甲苯基三氮唑、甲苯基三唑 CAS No. 29385-43-1 分子式:C7H7N3 相對分子質量:133.16 第一,性能與用途 銅緩蝕劑甲基苯駢三氮唑可以作為有色金屬銅和銅合金的緩蝕劑,對黑色金屬也有緩蝕作用...
-
TH-0100反滲透阻垢劑、分散劑 2018-01-10 [行業資訊] 熱度:232

第一,性能與用途 反滲透阻垢劑、分散劑TH-0100是一種高效阻垢劑,適用于反滲透(RO)系統及納濾(NF)和超濾(UF)系統中,可防止膜面結垢,能提高產水量和產水質量,降低運行費用。 反滲透阻垢劑、分散劑TH-0100特點: (...
-
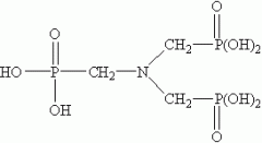
氨基三甲叉膦酸ATMP 2018-01-10 [行業資訊] 熱度:229

CAS No. 6419-19-8 別名:氨基三亞甲基膦酸、ATMPA、次氮基三亞甲基三膦酸、次氮基三亞甲基磷酸 分子式 N(CH2PO3H2)3 相對分子質量:299.05 結構式 第一,性能與用途: 氨基三甲叉膦酸具有良好的螯合、低限抑制及晶...
-
二氯異氰尿酸鈉 2018-01-10 [行業資訊] 熱度:288

第一,產品性能 二氯異氰尿酸鈉易溶于水,具有高效、快速、廣譜、安全等特點,有極強的殺生作用,在20ppm時,殺菌率達到99%。 二氯異氰尿酸鈉性能穩定,干燥條件下保存半年內有效氯下降不超過1%。在120℃以下存放不...
-
2-羥基膦酸基乙酸 HPA 2018-01-10 [行業資訊] 熱度:369

CAS No. 23783-26-8 分子式 C2H5O6P 相對分子質量:156 結構式 第一,性能與用途: HPA化學穩定性好,不易水解,不易被酸堿所破壞,使用安全可靠,無毒無污染,HPA能提高鋅的溶解度,具有極強的緩蝕作用,HPA緩蝕性...
-
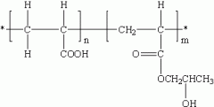
丙烯酸-丙烯酸羥丙酯共聚物 T-225 2018-01-10 [行業資訊] 熱度:207

別名:AA/HPA共聚物 CAS No. 55719-33-0 結構式 第一,性能與用途 T-225為丙烯酸和丙烯酸羥丙酯共聚物,它對碳酸鈣、硫酸鈣特別是磷酸鈣垢的形成和沉積有良好的抑制作用,對三氧化二鐵、污泥、粘土和油垢也有良好的...
-
羧酸-磺酸鹽共聚物 TH-2000 2018-01-10 [行業資訊] 熱度:391

第一,性能與用途 羧酸-磺酸鹽共聚物TH-2000為丙烯酸-磺酸鹽共聚物,是一種高效能阻垢分散劑,對于水中的磷酸鈣垢、碳酸鈣垢等成垢鹽類和無機礦物質具有良好的分散作用。羧酸-磺酸鹽共聚物TH-2000在以磷酸鹽為主的水...
-
減水劑 2018-01-10 [行業資訊] 熱度:376

第一,性能與用途 減水劑主要成分為陰離子型聚合物,減水劑能夠吸附在各種微小顆粒表面并產生靜電斥力使之分散,避免沉降、返粗。減水劑廣泛用做造紙涂料及建筑涂料的分散劑、混凝土緩凝劑、減水劑以及紡織印染等行...
-
碳酰肼 2018-01-10 [行業資訊] 熱度:328

別名:卡巴肼 分子式 CON4H6 相對分子質量:90.09 結構式 第一,性能與用途 碳酰肼為白色結晶粉末,極易溶于水,不溶于醇、醚、苯,由于它是肼的衍生物,具有很強的還原性,碳酰肼在工業中有較廣泛的用途,在水處理...
-
酸洗緩蝕劑 2018-01-10 [行業資訊] 熱度:306

第一,性能與用途 酸洗緩蝕劑屬咪唑啉類產品。在用酸清洗金屬時,加入酸洗緩蝕劑,即可抑制酸對鋼材的腐蝕。酸洗緩蝕劑應用的前提為清洗介質為鹽酸、硫酸、氨基磺酸,清洗對象的基材為黑色金屬。酸洗緩蝕劑適用于各...
-
氨基三甲叉膦酸ATMP介紹(圖文) 2018-01-10 [行業資訊] 熱度:254

CAS No. 6419-19-8 別名:氨基三亞甲基膦酸、ATMPA、次氮基三亞甲基三膦酸、次氮基三亞甲基磷酸 分子式 N(CH2PO3H2)3 相對分子質量:299.05 結構式 第一,性能與用途: ATMP具有良好的螯合、低限抑制及晶格畸變作用...
-
分質供水在我國將成為必然趨勢(圖文) 2018-01-09 [行業資訊] 熱度:247

長期以來,我國城市供水系統都采用統一給水方式,即不管什么用途都按照生活飲用水標準供給。在過去經濟不發達時期,用水量不大、用途種類單一的情況下,采用這種方式是可行的。如今,優質水資源十分緊張,而水用途日...
-
中節能正式步入劉大山時代(圖文) 2018-01-09 [行業資訊] 熱度:261

12月25日,國資委官方微信發布了多家央企人事調整的信息,其中,國資委任命劉大山為中國節能環保集團公司董事長。 央企換帥,總是那么引人關注。而在中國能源體系,這半年多來已經有諸多大佬級人物發生了工作、職務...
- 首頁
- 上一頁
- 460
- 461
- 462
- 463
- 464
- 465
- 466
- 467
- 468
- 469
- 470
- 下一頁
- 末頁
- 共 514頁7703條
服務地區:北京;天津;上海;重慶;河北;河南;云南;遼寧;黑龍江;湖南;安徽;山東;江蘇;浙江;江西;湖北;廣西;甘肅;山西;陜西;吉林;福建;貴州;廣東;青海;四川;寧夏;海南
服務地區:哈爾濱;長春;沈陽;南京;濟南;合肥;石家莊;鄭州;武漢;長沙;南昌;西安;太原;成都;西寧;海口;廣州;貴陽;杭州;福州;臺北;蘭州;昆明;銀川;烏魯木齊;拉薩;南寧
補充分類:電廠;工業;游泳池;系統;工程;工程師;藥劑;過濾器;絮凝劑;公司;廠家;生產廠家;